читай
Освітній простір
Тести ЗНО/НМТ
Спільнота
Тести спільноти
Створити тест
Блог
Знижки та промокоди
Ігри
Публікації
Головна
/
Тести ЗНО/НМТ
/
Математика
/
НМТ онлайн 2024 року...
Пройти весь тест
Наступне питання
Питання 19
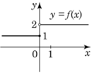
На рисунку зображено графік функції
f
(
x
)
=
{
1
,
x
∈
(
−
∞
;
0
]
,
2
,
x
∈
(
0
;
+
∞
)
.
Обчисліть значення виразу
∫
−
4
−
1
f
(
x
)
d
x
+
2
∫
1
8
f
(
x
)
d
x
.
Перевірити відповідь
Показати правильну відповідь
Хочете пройти повний тест
НМТ онлайн 2024 року з математики – 2 сесія
?
Розпочати тест