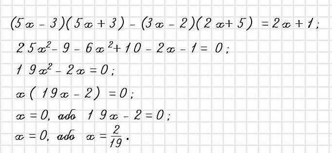
Питання 32

Проаналізуйте фрагмент учнівської роботи з розв'язання рівняння і дайте відповідь на запитання.

Question content

Під час виконання якої операції допущено помилку?

Хочете пройти повний тест НТ онлайн для вчителів математики 2026 року – основна сесія?